|
Process Help |
|
Process Name |
Menu Path |
Link to Command Table |
|
PPQQPLOT |
Sample Analysis ribbon | Statistics Processes | PP and QQ Plots Sample Analysis ribbon | Charts | PP and QQ Plot Command line only |
Introduction
|
|
This is a Superprocess and running it may have an effect on other Datamine files in the project. More... |
This process calculates and displays PP (probability-probability) and QQ (quantile-quantile) plots. These are graphical techniques for determining if two data sets come from populations with a common distribution.
PP Plots
The PP plot is a plot of the cumulative probability of the first data set against the cumulative probability of the second data set for a series of cutoff grades. If the two sets come from a population with the same distribution, the points should fall approximately along the 45 degree reference line.
In order to calculate the cumulative probability for each file, samples are divided into bins as defined by parameter BINSIZE.
QQ Plots
The QQ plot is a plot of the quantiles of the first data set against the quantiles of the second data set, where a quantile is defined as the fraction (or percent) of points below the given value. For example the 0.2 (or 20%) quantile is the point at which 20% percent of the data fall below and 80% fall above that value. If the two sets come from a population with the same distribution, the points should fall approximately along the 45 degree reference line.
The q-q plot is similar to a probability plot. For a probability plot, the quantiles for one of the data samples are replaced with the quantiles of a theoretical distribution. Further information on QQ plots is available from the Engineering Statistics Handbook (http://www.itl.nist.gov/div898/handbook/eda/section3/qqplot.htm).
If there are 100 or more samples in each of the IN1 and IN2 files then the 1%, 2%, 3%, ..., 100% percentiles are calculated. If there are less than 100 samples in either file then quantiles are calculated in multiples of 100/N where N is number of samples in the smaller file.
Key Field
If a KEY field is specified then the field must exist in the IN1 file. The same KEY field may also exist in the IN2 file. A PP or QQ line or set of symbols will be created for each unique value of the KEY field.
If the KEY field only exists in the IN1 file then all the samples from the IN2 file will be matched with the samples from the IN1 file for every KEY field value. This is particularly useful if you are comparing multiple realisations from a conditional simulation run with the original sample data as shown in example 3 below.
Output Files
The PPOUT and QQOUT files contain the data from which the plot files are constructed. You then have three options for creating the plots:
-
draft quality plots can be created by specifying the PPPLOT and QQPLOT output plot files, which are created by PPQQPLOT using the graphics processes. The plot size, scaling, annotation etc are all fixed.
-
the PPOUT and QQOUT files can be used as input to the CHART process. Although this is still only draft quality, you can specify plot size, scaling, colour, text size, axis annotation, title, legend, etc.
-
you can export the PPOUT and QQOUT files to Excel or any charting package.
The PPOUT file includes the following fields:
|
Field |
Description |
|
LOWER |
Lower bound of grade range, calculated using parameter BINSIZE. |
|
UPPER |
Upper bound of grade range |
|
N1 |
If the WEIGHT1 field has not been selected then N1 is the number of samples in the bin (between LOWER and UPPER) for file IN1. Otherwise it is the sum of the weights for the samples in the bin. |
|
PROB1 |
The probability (percentage) of samples in file IN1 lying within the bin. |
|
CUMPROB1 |
The cumulative probability (percentage) of samples in file IN1 less than UPPER. |
|
MEAN1 |
The mean grade of samples in file IN1 lying within the bin. |
|
N2 |
If the WEIGHT2 field has not been selected then N2 is the number of samples in the bin (between LOWER and UPPER) for file IN2. Otherwise it is the sum of the weights for the samples in the bin. |
|
PROB2 |
The probability (percentage) of samples in file IN2 lying within the bin. |
|
CUMPROB2 |
The cumulative probability (percentage) of samples in file IN2 less than UPPER. |
|
MEAN2 |
The mean grade of samples in file IN2 lying within the bin. |
The QQOUT file includes the following fields:
|
Field |
Description |
|
QUANTILE |
The quantile (expressed as a percentile) |
|
VALUE1 |
The corresponding quantile grade in file IN1. |
|
VALUE2 |
The corresponding quantile grade in file IN2. |
If PPPLOT and QQPLOT files are specified then plot files will be created even if the PPOUT and QQOUT files are not specified.
Files, Fields and Parameters
Input Files
|
Name |
Description |
I/O Status |
Required |
Type |
|
IN1 |
First input data file. There must be a minimum of 5 records. |
Input |
Yes |
Table |
|
IN2 |
Second input data file. This can be the same as the first input file IN1. There must be a minimum of 5 records. |
Input |
Yes |
Table |
Output Files
|
Name |
I/O Status |
Required |
Type |
Description |
|
PPOUT |
Output table for PP plot. At least one of the four output files must be specified. |
Output |
No |
Table |
|
PPPLOT |
Output plot file for PP plot. At least one of the four output files must be specified. |
Output |
No |
Plot |
|
QQOUT |
Output table for QQ plot. At least one of the four output files must be specified. |
Output |
No |
Table |
|
QQPLOT |
Output plot file for PP plot. At least one of the four output files must be specified. |
Output |
No |
Plot |
Fields
|
Name |
Description |
Source |
Required |
Type |
Default |
|
VALUE1 |
Field in input file IN1 to be plotted along the X axis of the PP and QQ plot. |
IN1 |
Yes |
Numeric |
Undefined |
|
VALUE2 |
Field in input file IN2 to be plotted along the Y axis of the PP and QQ plot. |
IN2 |
Yes |
Numeric |
Undefined |
|
WEIGHT1 |
Weighting field for VALUE1 in input file IN1. |
IN1 |
No |
Numeric |
Undefined |
|
WEIGHT2 |
Weighting field for VALUE2 in input file IN2. |
IN2 |
No |
Numeric |
Undefined |
|
KEY |
Key field in the input IN1 and optionally IN2 file. The plot will include a line or set of symbols for each key field value. |
IN1 |
No |
Numeric |
Undefined |
Parameters
|
Name |
Description |
Required |
Default |
Range |
Values |
|
MINIMUM1 |
Minimum value of VALUE1 field in input file IN1. Values below the minimum are ignored. |
No |
0 |
Undefined |
Undefined |
|
MINIMUM2 |
Minimum value of VALUE2 field in input file IN2. Values below the minimum are ignored. |
No |
0 |
Undefined |
Undefined |
|
MAXIMUM1 |
Maximum value of VALUE1 field in input file IN1. Values above the maximum are ignored. |
No |
Undefined |
Undefined |
Undefined |
|
MAXIMUM2 |
Maximum value of VALUE2 field in input file IN2. Values above the maximum are ignored. |
No |
Undefined |
Undefined |
Undefined |
|
PLOTTYPE |
Flag to specify plot type (1); =1 : Scatter plot, using symbol X; =2 : Line plot |
No |
1 |
1,2 |
1,2 |
|
BINSIZE |
Bin size for PP plot. |
No |
1 |
Undefined |
Undefined |
|
DIAGONAL |
Flag to control whether the diagonal (45 degree line) should be included on the plot (1). =0 : no diagonal line; =1 : include diagonal line. |
No |
1 |
0,1 |
0,1 |
|
PROGRESS |
Flag to control amount of output written to Output Window (1). =0 : no output; =1 : progress messages |
No |
1 |
0,1 |
0,1 |
|
DISPLAY |
Flag to select whether or not to display plot files. =0 : do not display plot files. =1 : display plot files. |
No |
1 |
0,1 |
0,1 |
Notes
No additional notes.
Example
Example 1
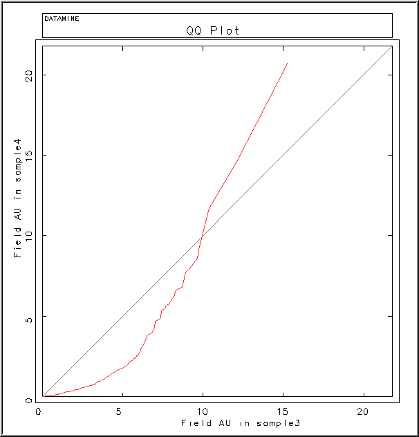
In the first example file sample3 contains AU values from deposit 3 and sample4 contains AU values from deposit 4.
![]() |
![]() |
|
The output file PPOUT1 contains the data from which the PP plot is created. The PP plot shows field CUMPROB1 (X axis) against field CUMPROB2 (Y axis).
![]() |
|
The output file QQOUT1 contains the data from which the QQ plot is created. The QQ plot shows field VALUE1 (X axis) against field VALUE2 (Y axis).
![]() |
|
Example 2
File sample3 contains a declustered weight field DCWEIGHT. The effect on the distribution of using the weighting field can be shown by selecting the same file (sample3) as both IN1 and IN2, and the same field (AU) as both VALUE1 and VALUE2, but using WEIGHT1 as DCWEIGHT and leaving WEIGHT2 blank. In this example parameter PLOTTYPE has been set to 1 so that the graphs are plotted as symbols rather than lines.
![]() |
![]() |
![]() |
![]() |
|
Example 3
In this example file simpts1 contains 10 sets of simulated points identified by KEY field SIMNUM. File sample1 contains the original data for the simulation
![]() |
![]() |
![]() |
![]() |
|
Error and Warning Messages
|
Message |
Description |
Solution |
|
|
|
|
|
|
|
|
















